Kotani in 1955
Austin Meeting |
Masao Kotani was born in 1906.
Since the scientific education was different in Japan
in these days it went like this:
B.Sc. in physics in 1929,
Lecturer for three years at the Faculty of Engineering.
He became Associate Professor at the Physics Department,
The Tokyo Imperial University, 3 years later.
Kotani got his D.Sc. in 1943 and became Full Prof. at the
same department where he remained till 1965 when he moved to
Osaka University.
Kotani retired from this chair in 1969 only to serve as
President of The Tokio Science University (private) till 1982.
Kotani died in 1993. ... [more CV details] ... |
|
However - Kotani's tables have many figures after the decimal point! Other tables, like the ones of Preuss, were maybe a bit easier to use yet they have only three figures after the decimal point. And when it came to take a difference between 2 large numbers, as happened in the calculations, then one was better off with Kotani's tables. It cannot be displayed here in but a few pages, and the following is presented to give you just an impression. (The above background, by the way, is page 101 of this text.) Otherwise : by all means, do get it, be brave and look for yourself ! M. Kotani, A. Amemiya, E. Ishiguro and T. Kimura :Tokyo, Maruzen Co., Ltd., 1955. |
Professor Masao Kotani, Japanese theoretical
physicist and a member of the editorial board
of IJQC, passed away of stomach cancer on June 6,
1993, at the age of 87. He is survived by his wife,
Yaeko, and a daughter and son.
Professor Kotani was born on January 14, 1906,
in
Kyoto and spent his primary and middle school
days in
Osaka. He moved to
Tokyo to enter the
First High School and then
The Tokyo Imperial
University. In 1929, he received his BSc degree
in physics and was appointed as a lecturer at
the Faculty of Engineering in the same university.
Three years later, he became an associate
professor in the Physics Department. In 1943, he
received the degree of DSc and was promoted to
a full professor in the same department. Twenty-
two years later, in 1965, Professor Kotani moved
from The University of Tokyo to
Osaka University
as a professor in the Faculty of Engineering Science.
He retired from the chair in 1969.
One year later, Professor Kotani was elected president
of
The Tokyo Science University, which is
a highly renowned private university. He served
as president for three terms, a total of 12 years,
and retired in 1982. He was associated with The
Tokyo Science University until his death, as an
expert advisor to its two institutes, General and
Life Sciences.
Professor Kotani received many awards. He was
a recipient of the Japan Academy Prize in 1948. This
was for his joint work with the late Professor
Sin-Itiro Tomonaga on the theory of magnetrons and
microwave circuits. He received the 1969 Tohyoh
Rayon Prize for the work in quantum mechanical
study of molecular electronic structure, the 1974
Fujiwara Award for his contribution to the basic
studies of molecular physics and biophysics, and
the 1977 International Society of Quantum Biology
Award. In 1977, the Japanese government
commended him in recognition of his cultural services.
In 1980, he received an Order of Culture in the
presence of the late Emperor Hirohito.
| Professor Kotani attended high school from 1922
to 1926 and liked both mathematics and physics
but was not good at memorizing unrelated items.
He had dreamed how wonderful it would be
if properties of molecules could be theoretically
calculated. After he entered The Tokyo Imperial
University, he and his close friend, the late
Professor Tetsuro Inui, studied the emerging new
mechanics together in the form of a two-man
seminar, using journals reaching the library
from Europe via Siberia. Upon graduation from
the university, he and Inui were appointed,
respectively, as a lecturer and an assistant in
the same laboratory. The late Professor Takahiko
Yamanouchi had been there as an associate
professor and the Yamanouchi—Kotani—Inui triplet
{set bold by this website}
joined forces and enjoyed studying the bases
and applications of quantum mechanics. This
triplet was probably one of the strongest units
on quantum theory in the Far East in those days. Heitler-London's famous paper of the hydrogen molecule appeared in 1927. Professor Kotani was deeply impressed by this paper and realized that the mystery of the covalent chemical bond was solved in principle and that chemistry and physics were united on a common foundation. The possibility he had dreamed of, when he was still in high school, had thus been realized. In the early 1930s, he was asked to join a newly established Committee for the Investigation of Catalytic Action under the Japan Society for Promotion of Sciences. He was the only member from the physics field, while others were from chemistry. |
This gave him
enough motivation to embark on a systematic
calculation of diatomic molecular integrals.
Before the Second World War, electronic computers did
not exist, so they had to use mechanical hand
calculators.
With a few but ardent collaborators, he
had managed to report his results in four separate
papers published in 1938, 1940, 1953, and 1954
and in a book in 1955, a revised edition of which
was published in 1963. In this book, he included
a very lucid paper about his method of treating
many-electron systms, with an explanation of
constructing representation matrices of a symmetric
group of permutations.
{all items set bold by this website}
These tables were welcomed by researchers
in the field. The late Professor
C. A. Coulson had asked him to send a second copy
of the off-print, since the first copy had become
worn out through heavy use. Professor Kotani‘s
way of treating the many-electron systems was
later revitalized as "spin-free quantum chemistry,"
advocated by Professor F. A. Matsen
and others.
In Japan before the 1930s, theoretical physics had
been understood almost as a synonym of
mathematical physics, that is, mostly as an application
of mathematics for solving differential equations
in physics, with certain initial and boundary
conditions. This tradition was particularly strong
in The Tokyo Imperial University. Professor
Kotani was one of the main members of new
theoretical physicists, who tried to obtain numerical
values that could be directly compared with
experimental results. One example of this direction
is his paper entitled "On the Magnetic Moment of
Complex Ions," published in 1949. In this paper,
he started from the strong-field coupling scheme,
now known as the ligand-field theory. He then
proceeded to derive formulas for the temperature
dependence of effective magnetic moments of the
transition metal ions under a cubic field. These
formulas have been cited as Kotani's formulas in
many papers. In order to compare the theoretical
results with experimental results, he had examined
Chemical Abstracts year by year. To his pleasant
surprise, he found that the magnetic moment
of hemoglobin derivatives measured at Pauling's
laboratory in the early 1930s fitted his theory quite
nicely. This was his first encounter with biological
molecules {set in italic-bold by this website}.
In the late 1950s Professor Kotani's scientific
interests had moved to biophysics. As he was
excited by the unification of physics and chemistry,
he was fascinated by the largely unexplored
fertile field between biology and physicochemical
science. He presided over a laboratory of
biophysics at Osaka University for 4 years. In this
laboratory, experimental and theoretical studies
on hemoproteins were conducted. He and his
students prepared single crystals of hemoglobin
molecules, measured the magnetic susceptibilities
and their anisotropies down to liquid helium
temperature, analyzed the coexistence of high-spin
and low-spin states of hemoglobin molecules, and
examined their electron paramagnetic resonance
spectra. From these studies of physical properties
of biological molecules, they proceeded to tackle
problems related to their biological activities.
One problem on which they concentrated their
energies was the so-called "oxygenation curve"
of hemoglobin. Professor Kotani proposed a nice
theory describing the cooperativity of four subunits
in a hemoglobin molecule, which is the origin of
the "oxygenation curve". From these studies, a
total of 19 publications were produced by him
and his co-workers between 1963 and 1974, of
which 17 were in English. He seemed to have
had deep feelings of satisfaction because molecular
biology and physics had common ground at the
microscopic level.
Professor Kotani had written many monographs,
review articles, and textbooks. The fields covered
by them are mechanics, group theory,
electromagnetism, theory of chemical reactions, interatomic
and intermolecular forces, table of molecular
integrals, quantum mechanics, quantum mechanics of
atoms and molecules, special functions, theory of
chemical bonds, radiation material science,
"Mathieu functions, spheroidal functions, and their
applications", quantum mechanics of electronic structure
of simple molecules, electronic theory of haem,
structure of matter, "introduction to molecular sci-
ence, outline of quantum mechanics",
paramagnetic properties and electronic structure of iron in
heme proteins, and electronic structure of iron in
porphyrin complexes. This is a formidable list.
M. KotaniShelter Island 1951 |
Professor Kotani went abroad, for the first time
in his life, in 1950. lt was a difficult time to make
a foreign trip. One had to submit several kinds
of documents well in advance just to obtain a
passport. Then, at the end, one had to ask
permission from the Bank of Japan to get a small
amount of foreign currency. When he met the
secretary general of the IUPAP (1), Professor P. Fleury
in Paris, Professor Fleury told him that the IUPAP
had never disqualified Japan as a member, since
science and politics were separate fields. Professor
Kotani was delighted to learn that Japan could
reopen its activity as a member if only membership
dues were paid. A possibility of an international conference of physics in Japan was hinted at by the secretary general on this occasion. This possibility became a reality as the International Conference of Theoretical Physics which was held in Kyoto in September 1953. Professor Kotani played a key role in its organization and displayed indomitable and unremitting energy in leading to its success. Especiahly to young Japanese physicists, the door to the world was opened by this conference. |
| IUPAP | vice president, 1955-1960 | IUPAP: International Union of Pure and Applied Physics |
| FID | vice president, 1960-1962 | FID: International Federation of Information and Documentation |
| IUPAB | council member, 1961-1969 | IUPAB: International Union of Pure and Applied Biology |
| ICSU | member of executive board | ICSU: International Council of Scientific Unions |
| CODATA | officer, 1968-1972, chairman of CODATA/ ADD, 1972-1978, and president, 1978-1982 | CODATA/ADD: Committee on Data for Science and Technology/Accessibility and Dissemination of Data |
Professor Kotani‘s brilliance, particularly in
mathematics, was legendary among his friends
and students. In his final year as a student at
the university, he attended lectures on
celestial mechanics. He found a proof of a theorem given
at the lecture, and he showed it to the professor.
The professor found his proof new, simple, and
worth publishing. Thus, his first paper was
published in the journal Astronomische Nachrichten
in 1929! Another example of his mathematical
skillfulness was his way of obtaining the exact
value of electric polarizability of the hydrogen
atom from the first-order Rayleigh-Schrödinger
perturbation equation. This method was quoted
by Schiff (Quantum Mechanics, 3rd ed., 1968) with
the following footnote: "This approach appears to
have been first published by M. Kotani, Quantum
Mechanics I, p. 127 (Yu [sic] {I} wanami Book
Co., Tokyo, 1951)."
{note of this website: The [sic]-note is contained
in the original!}
Almost 50 years after his first
printed paper, he read a paper at the 1977 annual
meeting of the Biophysical Society of Japan (This society was
established in 1960 by Professor Kotani and
others and who elected him as its first president.)
This was possibly his last contributed paper. The subject
dealt with chemical kinetics of polymerization of
single monomers and contained his "small" trick.
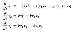
If one denotes the concentration of monomer by
x1, that of dimer by x2, that of trimer x3, and so on,
one can describe a model polymerization process
by a set of seemingly nonlinear equations:
and so on. Changing a variable from t to s, where
ds = kx1 dt,
he could linearize the equations and
solve thern easily.
Those who had a chance to meet him would
probably agree that he was gentle, sincere, and
modest and that the way he worked was always
meticulous and careful. He was not a talkative
person, but one could feel his warmth and
attentiveness in a short time. On the other hand, when he
was not satisfied with an explanation, or he thought
an argument was not self-consistent, he kept asking
questions calmly, politely, and logically until he
was convinced. In this sense, he had a strong will
and a quiet tenacity. He also had a steady nerve. lt
was around 1974 when I visited him at the
temporary president's office. The storm of student power
was raging through all major universities in Japan
and the original president's office was occupied by
radical students. While we were chatting, typical
student whistles and shouts started and became
louder and louder. When they reached the staircase
leading to his office and were still approaching, his
secretary opened an adjoining door and told him,
"They are coming, they are coming". The president
looked up, said "Ah, so" quietly, and continued
our discussion of an item in a dictionary.
In judging a situation or a person, Professor
Kotani did not have any dogma or prejudice. He
had an emotionally detached attitude to all
problems. He was interested in a phenomenon and its
cause. There must be reasons for any phenomenon,
he thought, and tried hard to understand them.
Other people's words and deeds could be
incomprehensible to him, but he was very cautious in
judging whether they were right or not. During my
13 years' association with him in his laboratory, I
never heard a harsh remark about anybody from
him. lt seems that Professor Kotani reached this
admirable frame of mind not by mental training:
He seems to have been a rare person who was born
with these positive attributes and maintained them
throughout his whole life.
Professor Kotani was not only an outstanding
scientist, but also a man of a warm and
remarkable personality. He could be called the father of
Japanese quanturn chemistry. Professor Kotani will
be missed by the international quantum chemistry
community.