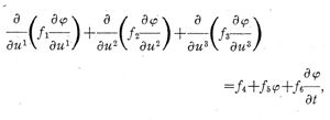
The Problem
The equivalent circuits consist of a configuration
of coils repeated along one, two, or three
axes. The final shape of the network is the same
as the shape of the field to be analyzed. While
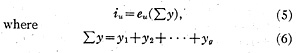
the illustrations will refer to two-dimensional
networks, all rules and formulae are equally
valid for one- and three-dimensional networks.
In analyzing a field, at first it should be divided
into a very few subdivisions only. After its field
distribution has been calculated, it should be
subdivided into a finer mesh then, if needed,
into still finer meshes. In most problems it will
be necessary to introduce fine meshes only in
certain portions, usually around corners.
The problem in all cases is the following:
(1) Given the boundary conditions in the form
of known currents flowing in some of the coils
and in the form of known absolute potentials at
certain junctions.
(2) Find the absolute potentials
of all junctions and the currents flowing in all
conductors.
In linear problems the impedances of all coils
are also known. In non-linear problems only some
of the impedances are known, while the value of
others are functions of the as yet unknown
absolute, potentials and their derivatives. Some
of the junction currents also may be functions of
the potentials.
A Preliminary Step
In most networks the absolute potentials of the
junctions have a physical meaning. In particular:
(1) In the electromagnetic field it is E
y, the field-
intensity, along the y-direction, or H
y.
(2) In
elasticity it is the total displacement u or v.
(3) In hydrodynamics it may be the stream-
function ψ or velocity potential φ etc.
In all methods of attack as a preliminary step a
tentative potential distribution at the junctions is
assumed. Usually an intelligent guess may be
made and if the guess is far off, that only entails
more labor, without, however, influencing the
correctness of the final answer. (Instead of the
potential distribution, a guess may be made at
the current-distribution.) Of course in linear
problems this preliminary step may be done on a
Network Analyzer, even though only a very few
units are available, or the results of an approximate
or exact solution may be used as starting
points.
Once the absolute potentials at all the junctions
are assumed to be known, it is always
possible to calculate the currents flowing in all
the coils. In non-linear problems at first the coil
admittances and junction currents must be calculated
from the known potentials, then the coil
currents. Examples of non-linear networks are
those of the potential flow of a compressible
fluid in the physical plane, given in reference 7,
Figs. 10 and 11.
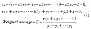
The method of attack is based upon the fact
that if the correct potential distribution is
assumed and if all currents in the coils have been
calculated then:
(1) The sum of the currents
entering each junction is zero.
(2) The weighted
average of the potentials of neighboring junctions
is equal to the potential of the central junction.
Three types of numerical calculations may be
performed depending upon whether the weighted
average of the currents entering a junction, or of
the voltages surrounding a junction, or of both,
are calculated.
Because of the bad guess, however, actually
at no time will the above conditions be fulfilled
at all junctions simultaneously. The purpose of
the calculation is to reduce the difference in the
entering and departing currents (or the difference
between the surrounding and the central potentials)
as close to zero as possible at all junctions.
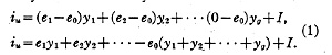
This difference in the currents will be called
the "unbalanced current" i
u , and the difference
in the voltages the "unbalanced vOltage" e
u . It
should be noted that:
(1) The "unbalanced
voltages" offer a clue on how much to change the
guessed-at voltages to reduce the error.
(2) The
"unbalanced currents" give an indication of how
much the guessed-at values differ from the correct
values.
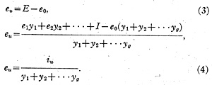
Calculation of the "Unbalanced" Currents and Voltages
The unbalanced currents i
u at each junction
are best calculated by summing up the currents
entering it. To find the unbalanced voltage. e
u at
a junction whose absolute potential is e
0, let
Fig. 13 be considered. The unbalanced current
may also be found by
If it is assumed that no unbalanced currents
exist (i
u = 0) then the correct value of the
assumed potential e
0would be E, the weighted
average
Since e
0 is assumed instead of E, the unbalanced
voltage is
Hence the relation between
and e
u at every junction is
is the sum of the admittances of all the coils
leading to the junction.
The Field Equations of Maxwell
In Laplace's equation, where
y
1 = y
2 = y
3 = y
4 = 1
and y
g = I = 0,
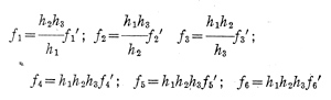
In Maxwell's equation, in rectangular coordinates, Fig. 4, where
y
1 = y
2 = y
3 = y
4 = y
L
and y
g = y
c (acapacitance, a negative number),
a number less than four.
That is, finding the unbalanced currents and
voltages for the field equations of Maxwell in
rectangular coordinates is no more complicated
than finding the same quantities in Laplace's
equation (i.e., the number 4 is replaced by k).
It will be found in most problems that the
general equations (1), (4), and (2) for finding
i
u,e
u and E may be considerably simplified.
The Method of Unbalanced Currents and Voltages
One of the quickest ways (if not
the quickest)
to solve a complicated network is the following:
1. Assume (or measure by a Network Analyzer)
the potentials at all junctions.
2. Calculate at all
junctions the unbalanced currents i
u and the
unbalanced voltages e
u.
3. Knowing the whole
set of unbalanced quantities at the junctions
assume a new set of potentials that are more
correct. In general, w
here e u is positive, the potential
should decrease and with negative e u it should
increase.
4. Calculate over again the whole set
of new unbalanced quantities at every junction.
Such successive guesses and calculations should
reduce the unbalanced quantities below any
desired amount. Plotting curves of the unbalanced
currents, voltages, and of the guessed-at values
at frequent intervals helps to speed up the
convergence.
Examples of Unbalanced Quantity Calculations
Let a square wave guide or cavity resonator,
by a conducting surface that extends to infinity
in the y direction, be divided into sixteen squares.
The net of coils in each square consists of two
inductances (z=0.8 or y=1.25) and a ground
capacitor (z=1.3 or y=0.77). The currents in
the inductance represent E
x and E
z, while the
voltages across the capacitors represent H
y.

Fig. 14, bounded in the x-z plane on three sides.
For boundary conditions, it is assumed that
at the open end (upper end) a sinusoidal current
distribution in space, E
x, is impressed. As a
result, a sinusoidal potential distribution H
y
appears at the junctions. Neither the magnitude
nor the wave-length of H
y is known.
Tentatively let the values shown on Fig. 14 be
assumed as the junction potentials H y. (Actually these
values were found on the Network Analyzer.)

FIG. 15. Unbalanced currents and voltages on the wave guide network.
Figure 15 gives the unbalanced currents and
voltages that will have to be liquidated. It should
be noted that the greatest unbalanced junction
current is 7.93 amperes. As the greatest coil
current is 102.8 amperes, that represents an 8
percent inaccuracy.
Knowing the unbalanced currents and voltages
at every junction, a new set of junction potentials
may now be assumed.
For an elastic stress problem of a beam, a set of
junction potentials (representing displacements
in the x or y directions) and a set of unbalanced
currents are shown in Fig. 16 (reproduced from
Carter (8)).
The Method of Weighted Averages
Instead of attempting to reduce the unbalanced
quantities simultaneously at all junctions, it is
possible to reduce them at one junction at a
time. Two such methods will be shown .
(1)The unbalanced current and voltage are reduced to
zero at a junction without compensating at the
neighboring junctions (the method of weighted
averages).
(2) Each time the unbalancect current
or voltage is reduced at a junction, the
unbalanced quantities at the neighboring junctions
are compensated simultaneously (the relaxation
method).
The first method is especially valuable when
the guessed at value of potentials differs from
the correct value only at isolated points or
regions. Such is the case usually in Network
Analyzer solutions when at some junctions the
instrument reading is incorrect or the board unit
happened to be incorrectly set. The steps are as
follows:
(1) Assume (or measure) the potentials
at all junctions.
(2) Calculate E, the weighted
average, at any junction by Eq. (2).
(3) Replace e
0 by E.
In the previous method e
0 was not replaced
by E. Only the corresponding e
u for each e
0 was
calculated, leaving e
0 undisturbed.
It is customary to start at one corner of the
network and change in succession all e
0 to E,
utilizing the already corrected potentials
wherever they are available. A disadvantage of this
method is that it is equivalent to reducing the
unbalanced potential e
u at each junction
immediately to zero.
A more advantageous procedure is to replace
at each junction the value of e
0 not by E but by
a value
larger than E, or smaller (depending on
the value of the neighboring potentials)
leaving
thereby at each junction an unliquidated e u that
is within the allowable limit of error.
In non-linear problems it is often possible to
plot curves which give outright the value of E for
given neighboring potentials (or rather for given
potential-differences between neighboring
junctions). If difficulties in the convergçnce arise, in
place of E a value larger (or smaller) should
be used.
The Relaxation Method
The relaxation method reduces the unbalanced
currents or voltages at one junction at a time
toward zero in a systematic manner. It is based
upon the fact that whenever the absolute
potential of a particular junction is changed, the
unbalanced currents and voltages change only at
that particular junction and at all the neighboring
junctions to which a coil leads, while
everywhere else the unbalanced junction currents
remain unchanged.
This fact may be seen by introducing a set
of hypothetical generators so that (Fig. 17a):
(1) At every junction a generator with zero
impedance is assumed to be connected to the
ground.
(2) The generator voltage is equal to
the absolute potential of the junction.
(3) The
generator current to ground is equal the to
unbalanced current existing at that junction.
By the introduction of these hypothetical
generators the network remains unchanged and is
now capable of performing new feats that it
couldn't do otherwise. Since the generators have
zero impedance to ground,
whenever one of the
generator voltage is changed, currents can flow
from this generator only to the neighboring grounds.
(Fig. 17b). No change of currents exist anywhere
else in the network.
Hence, the unbalanced currents are reduced in
two steps:
(1) Add (or subtract) a certain number
of volts to the potential of a junction.
(2) Find
the new unbalanced currents (or voltages) at
that junction and in the neighboring junctions.
Whether the unbalanced currents, or voltages,
or both should be calculated depends on the
problem at hand.
The "Unbalanced-Current Patterns"
The work involved in this last step may be
greatly reduced in linear problems by the device
of the "unbalanced-current pattern". This device
consists of calculating once for all the
change in
the unbalanced junction currents caused by a
change of
one volt at every junction. (With non-
linear coils this device cannot be used.) Two
cases may be distinguished:
(1) If the square
nets of impedances throughout the network are
identical, then each junction that does not lie on
the boundary, has identical current-pattern.
Similarly all horizontal, also all vertical, boundary
junctions have identical pattern, as well as
all corners. The various patterns for the wave-
guide example are given in Fig. 18 (
plus current
flows into a junction,
minus current flows out of
a junction).
(2) If the impedances vary from
point to point, then for every junction a different
current-pattern has to be established.
In analogy to the "unbalanced current patterns"
it is possible to set up "unbalanced voltage
patterns" by multiplying each i
u by its
respective Σy.
The Numerical Reduction
It should be noted that every time a junction-
voltage is decreased, the junction currents at the
neighboring junctions increase, but at the junction
itself it decreases. And the decrease is always
greater than the increase (—4.23 amp. as against
1.25 amp.).
Hence the general procedure is to decrease
(or increase) the unbalanced currents at those
junctions where the unbalance is the greatest.
Two columns should be established at every
junction:
(1) One column showing the change in
the absolute potential assumed.
(2) The other
showing the new unbalanced currents (or voltages,
or both).
There will be many more entries in the current
column since the current varies also whenever
the potential at a
neighboring junction varies.
Fig. 19. Reduction of unbalanced currents to one-half of their value (from 8 percent to 4 percent).
Fig. 19 shows the steps necessary to reduce
in the example of Fig. 15 the unbalanced currents
from 8 percent to 4 percent.
By changing the
voltages only at five junctions, the accuracy of the
a.c. Network Analyzer results has been increased
100 percent.
Fig. 20. Reduction of unbalanced currents to one-fourth of their value (from 4 percent to 2 percent).
Figure 20 shows the steps necessary
to reduce the unbalanved currents from 4 percent
to 2 percent. Now 24 changes had to be assumed
instead of five to increase the accuracy by another
100 percent. To reduce the unbalanced currents
from 2 percent to 1 percent probably the same
or greater number of changes would be necessary.
It is emphasized that a practiced person could
probably have made the same reduction by less
than 24 steps. Also, the network is symmetrical,
a fact which was not considered in the reduction.
No hard and fast rules can be established for
the reduction. While it is possible to assume at a
junction a change of potential that reduces its
own unbalanced current immediately to zero, it
will not remain so as soon as the potential at a
neighboring junction is assumed to vary. Often
it is advantageous to reduce an unbalanced
current not only to zero but to a negative value.
Group Relaxation
There is no limit of course to the amount and
type of labor-saving devices, that can be
introduced. One of them will now be considered.
Instead of assuming a change of voltage at one
junction, a change of voltage at several junctions
may be assumed simultaneously. This requires
settig up "current patterns" for several junctions.
An example, for three border junctions is
shown in Fig. 21.
FIG. 21. Current pattern for three border junction.
Networks with Complex Impedances
If both resistances and inductances occur in a
network, then the unbalanced junction-currents
are complex numbers i
1+ji
2, instead of real
numbers i
1. Similarly the absolute potentials are
complex numbers. Then a separate current
pattern has to be established for a unit change in
the
real and the
imaginary components of
junction-voltage respectively. The latter must so
change that both the real and imaginary parts
of unbalanced currents approach zero.
Another and perhaps a better method is to
replace the equivalent circuit by a more complex
circuit in which only real numbers occur. Such a
step is always possible since a set of differential
equations containing complex coefficients may
always be replaced by a set containing no j by
simply doubling the number of equations and
the number of dependent variables, that is, by
introducing in-phase and out-of-phase components of variables.
The "Diffusion" Method
While the relaxation and the weighted average
methods change potentials at one junction at a
time, the method of unbalanced currents and
voltages changes the potentials at all junctions
simultaneously. The first two methods are found
to be effective at the beginning of the reduction,
especially in the elimination of "bumps" in
otherwise smooth curves; afterwards the latter
method appears to be faster. When the
unbalanced currents are small compared with the
circuit currents but still further reduction is
desired, all three methods become very slow. The
following method offers a further systematization
of the third method.
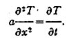
A partial diferential equation, not containing
time, usually is considered to represent summation
of currents at a junction. An unbalanced
current i
u has no counterpart in the equation.
Let it be assumed that i
u corresponds to an
additional term of the form A∂φ / ∂t in the equation,
adding thereby an additional independent
variable t to the equation and an additional
dimension to the network, such as shown in
Fig. 4, for the wave equation.
From physical consideration of diffusion problems,
it appears that if the initial conditions are
well selected, the rate of diffusion decreases as
time increases, and the currents representing
A∂φ / ∂t must become in general smaller. At t = oo
they all must become zero, allowing the network
to represent the original equation without the
time-term.
By experience it has been found that at t=0,
half of the unbalanced current should flow up,
half down (Fig. 22 representing the one-dimensional
wave equation). The coefficient A should
be so selected that at first the potentials on the
second layer should differ by only a small amount
(say one percent or less) from the starting potentials.
As time goes on, the value of A may be
increased to speed up the rate of diffusion. The
values of A should be so selected that the bigger
currents between the layers should decrease
uniformly along smooth-curves instead of oscillate
around them. (Some of the smaller currents will
increase.) Of course A may be an arbitrary
function not only of time, but also of space,
allowing thereby speedier diffusion at certain
points.
In actual calculations, especially when the
layers are two-dimensional, it is sufficient to have
the drawing of one layer only and write the
subsequent values of potentials in colums, as
in the relaxation method.
PART III. CHARACTERISTIC-VALUE PROBLEMS
Oscillatory Circuits
In characteristic-value problems not only the
mode of vibration (the junction-potential
distribution) is unknown, but also the frequency ω
corresponding to that mode. If, however, a
potential distribution is assumed, the corresponding ω
may be found by the following property of the
networks, a consequence of Rayleigh's Principle.
"When the network potentials correspond to a
characteristic function, the algebraic sum of the
positive and negative powers in the inductors and
capacitors is zero."
That is, the power
ΣI
2X
L = ΣE
2Y
L =
ΣEI
L
in the inductors is equal to the power ΣI
2X
C in
the capacitors. Or the power in the variable
units, that are functions of ω, is equal to the
power in the constant units. This zero power in
the network is utilized in finding characteristic
values with the aid of a Network Analyzer. The
admittances of the coils that are functions of ω
are varied with w until a generator, connected in
shunt with any of the coils, draws no current
from the line. At such values of admittances, the
network is self-supporting and the stored electrical
energy oscillates between' the capacitors
and the inductors.
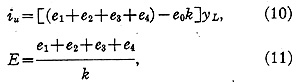
Calculttion of Characteristic Values
Hence, for an assumed potential distribution e,
the corresponding ω is found by the following
steps:
1. Calculate the power ΣI
2X in all the
coils that are not functions of ω (positive power
exists in inductors and negative in capacitors).,
This power may also be found by calculating the
power flowing in the coils that are functions of ω.
If the latter are ground coils, then if e is the
junction potential and i the current through the
ground coils, power = Σei.
2. If the admittance
of each of the remaining coils is the same and is
equal to ω
2C, then the power in these coils is
e
2y = Σe
2ω
2C =
ω
2CΣe
2.
Hence

By Rayleigh's principle it is well known that
if the assumed mode of vibration (potentials) is
only a rough approximation, the resultant
characteristic value calculated is a better than rough
approximation.

By knowing the correct ω for an assumed
potential distribution, the correct unbalanced
currents i
u and e
u may now be calculated. The
latter in turn may be reduced by any of the four
methods shown for the solution of boundary-
value problems. However, in the present
problems a new and more correct ω has to be
calculated occasionally as the reduction proceeds.
The Method of Unbalanced Admittances
In the presence of coils that are functions of
ω and whose admittances are usually equal, it is
not necessary to introduce unbalanced currents.
Instead the unbalance is redistributed by
attributing different admittances to these variable
coils. Hence when the correct ω has been
calculated for a given potential distribution, it is
assumed
that with each variable coil an
unbalanced admittance yu is associated. The purpose
of the reduction is then to reduce the values of
these unbalanced admittances.
Expressed in another way, the purpose of the
reduction is to make the admittances of all
variable coils the same. The calculated ω only
gives a goal to aim at at the beginning. As the
reduction proceeds, the common value of the
admittances continuously shifts.
The use of the "unbalanced current patterns"
facilitates the calculation of the unbalanced
admittances at the neighboring points, when the
potential at a point is changed.
Linear Harmonic Oscillator
It will be assumed that an approximate value
of a characteristic function of the linear harmonic
oscillator is known, Fig. 23. (Actually it has been
measured on a Network Analyzer, (9) with the aid
of the network of Fig. 24.)

The problem is to
calculate the corresponding characteristic value.
Theoretically that is known to be y
E=0.0880.
zero generator current at y
E=0.0921, a 4
percent discrepancy.
The admittance of the horizontal inductors
was Y
h=1.1 and those of the vertical inductors
y
v=O.00704x
2 where x varies from 1/2 to 12 1/2 in
steps of 1 as given in Table I for half the coils.
The measured potentials from ground to junction
are given in Table II.

In the Schrödinger equation the admittance of
the capacitors is proportional to ω. The energy
in the horizontal coils is Σ1.1∆e
2 = 2851, in the
vertical coils it is fey, Σe
2y
v = 2890.
Hence

This calculated energy level differs from the
theoretical value of 0.0880 by only 3 parts in
10,000. It should also be noted that the true
(and lowest) energy level 0.0880 is always
smaller
than the approximate levels 0.0883 or 0.0921, in
accordance with Rayleigh's principle, or its
quantum mechanical analogue.

Here ψ is the approximate wave function e.
Also H∆xψ is the current i in
E∆x the admittance y
E.
BIBLIOGRAPHY
(1) H. W. Emmons, "Numerical methods of solving
partial differential equations," Quart. App. Math. (Oct.
1944).
(2) A. Vazsonyi, "Numerical method in the theory of
vibrating bodies", J. App. Phys.
15, 598 (1944)
(3) G. Kron, "Equivalent circuits of the elastic field," J. App. Mech.
11, 149-161
(1944).
(4) J.B.Scarborough, "Numerical Mathematical Analysis
(Oxford University Press, 1930).
R. E. Doherty and E. Keller,
Mathematics of Modern
Engineering I (John Wiley & Sons, Inc, New York,
1936), p. 167.
(6) J. H. Bartlett, "The shaping of pole faces of the
betatron," Phys. Rev. 63, 185 (1943).
(7) G. Kron, "Equivalent circuits of compressible and
incompressible flow fields," scheduled to appear in
J. Aer. Sci.
(8) G. K. Carter; "Numerical and network ~.nalyzer
solutions of the equivalent circuits for the elastic
field;" J. App. Mech. 11,162—167 (1944).
(9) G. K. Carter. and G. Kron, "A.c. network analizer
study of the Schrödinger equation," Phys. Rev. 67,
44 (1945).
(10) G. Kron, "Electric circuit models of the Schrödinger
equation," Phys. Rev. 67, 39 (1945).
(11) G. Kron, "Equivalent circuit of the field equations of
Maxwell," Proc. I. R. E., pp. 289 - 299 (May, 1944).
(12) R. V. Southwell, Relaxation Methods in Engineering
Science (Oxford University Press, 1940).
(13) A. F. Prebus, I. Zlotowsky and G. Kron, "The application
of network analysis to some electron optical
problems," scheduled, to appear in Phys. Rev.
Last updated : Oct. 03, 2003 - 18:25 CET